可疑缴获物中苯乙基依托尼秦的结构解析 |
| 刘永红, 廖琦, 焦英, 孙卫, 肖雷, 贾薇, 刘翠梅 |
|
Structural Elucidation of Phenylethyl Etonitazene in Seized Powders |
| LIU Yonghong, LIAO Qi, JIAO Ying, SUN Wei, XIAO Lei, JIA Wei, LIU Cuimei |
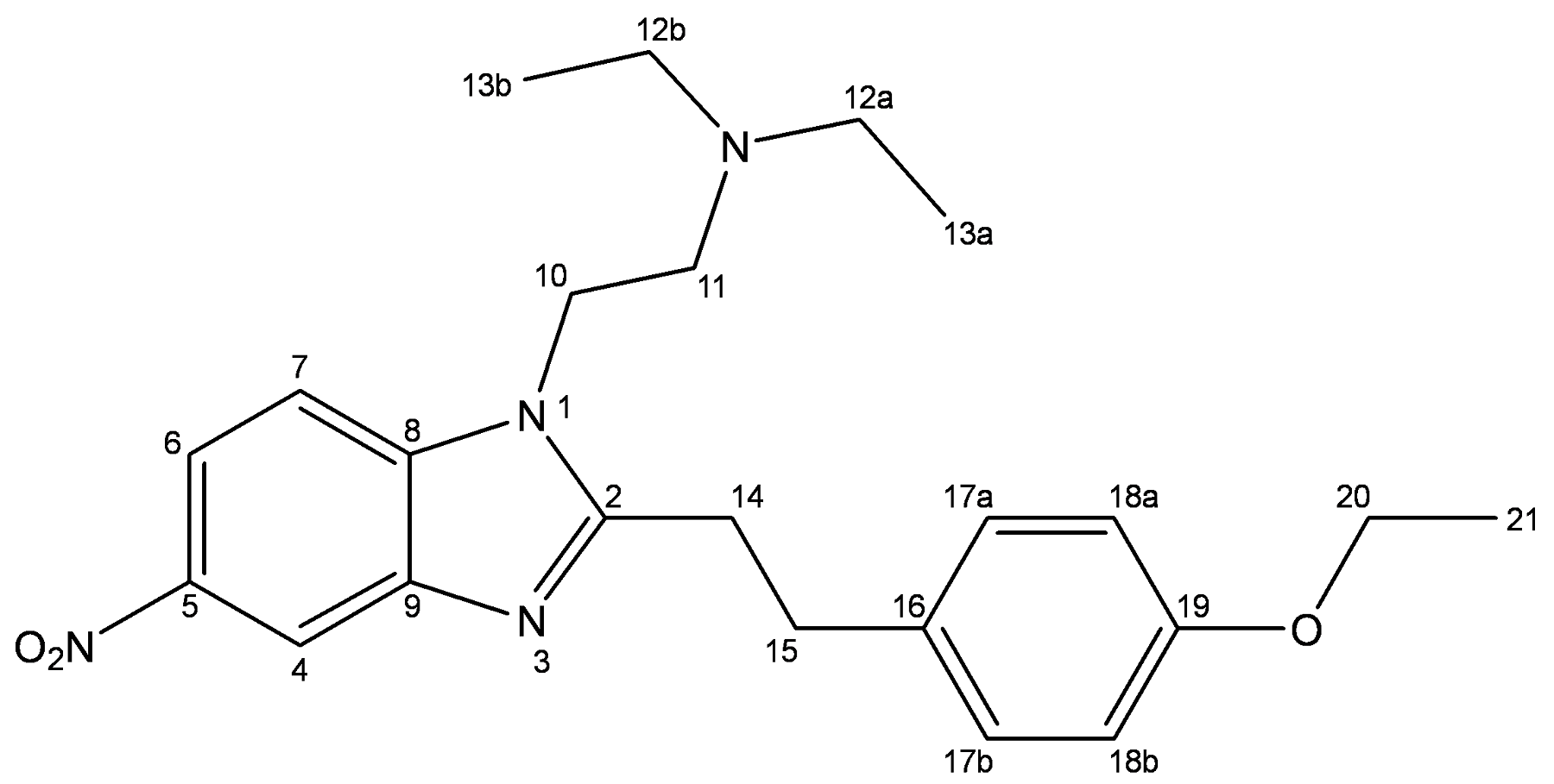
| 图1 苯乙基依托尼秦的结构式 |
| Fig. 1 The structure of phenylethyl etonitazene |
|