轻量化AD-Net模型用于颅内肿瘤MRI图像的分类研究 |
| 向朝, 随力, 张昊天, 段梦雨, 刘卓睿 |
|
A Lightweight AD-Net Model for the Classification of Intracranial Tumors in MRI Images |
| XIANG Zhao, SUI Li, ZHANG Haotian, DUAN Mengyu, LIU Zhuorui |
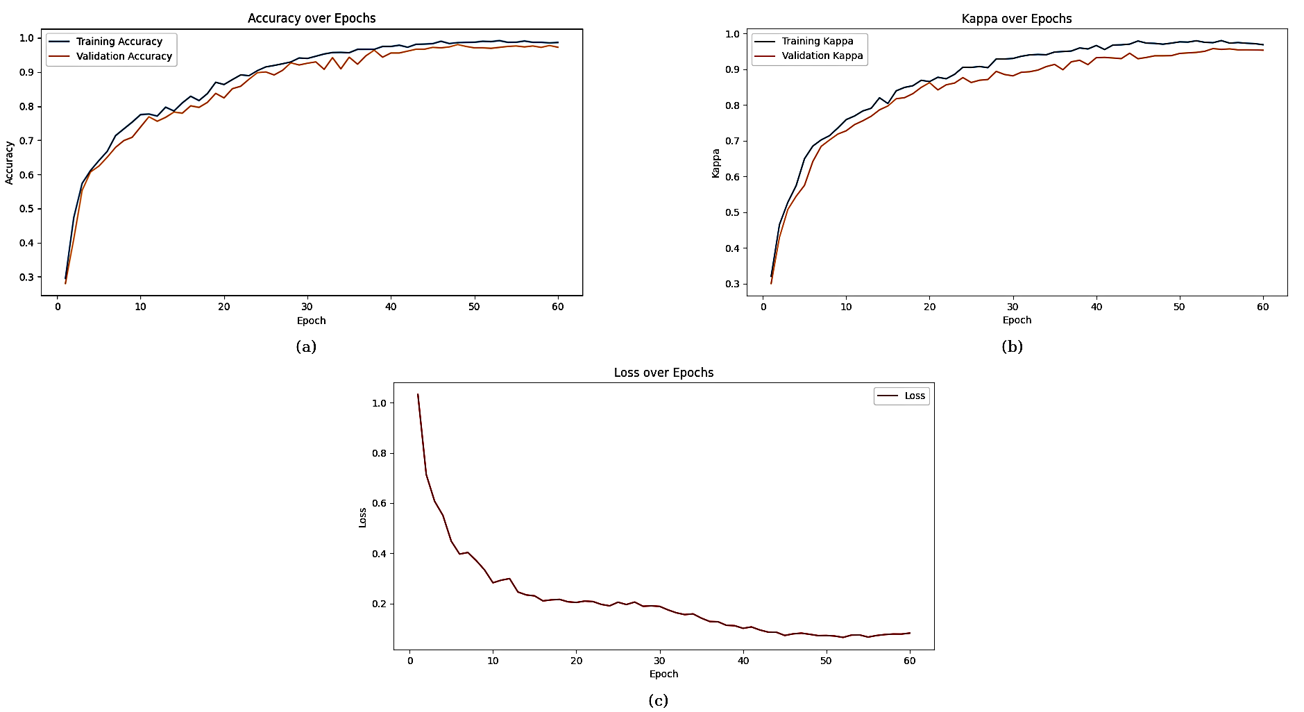
| 图8 AD-Net模型在60个训练周期(Epoch)中的几个关键性能指标(a)训练准确率与验证准确率、(b)训练Kappa系数与验证Kappa系数及(c)损失函数曲线图 |
| Fig. 8 of the AD-Net model over 60 training epochs: (a) training and validation accuracy, (b) training and validation Kappa values, and (c) loss function curves |
|