波谱学杂志

• •    

轻量化AD-Net模型用于颅内肿瘤MRI图像的分类研究

向朝,随力*,张昊天,段梦雨,刘卓睿   

  1. 上海理工大学健康科学与工程学院,上海 200093
  • 收稿日期:2025-04-08 修回日期:2025-06-12 出版日期:2025-06-12 在线发表日期:2025-06-12
  • 通讯作者: 随力 E-mail:lsui@usst.edu.cn

A Lightweight AD-Net Model for the Classification of Intracranial Tumors in MRI Images 

XIANG Zhao,SUI Li*,ZHANG Haotian,DUAN Mengyu,LIU Zhuorui   

  • Received:2025-04-08 Revised:2025-06-12 Published:2025-06-12 Online:2025-06-12
  • Contact: SUI Li E-mail:lsui@usst.edu.cn

摘要:

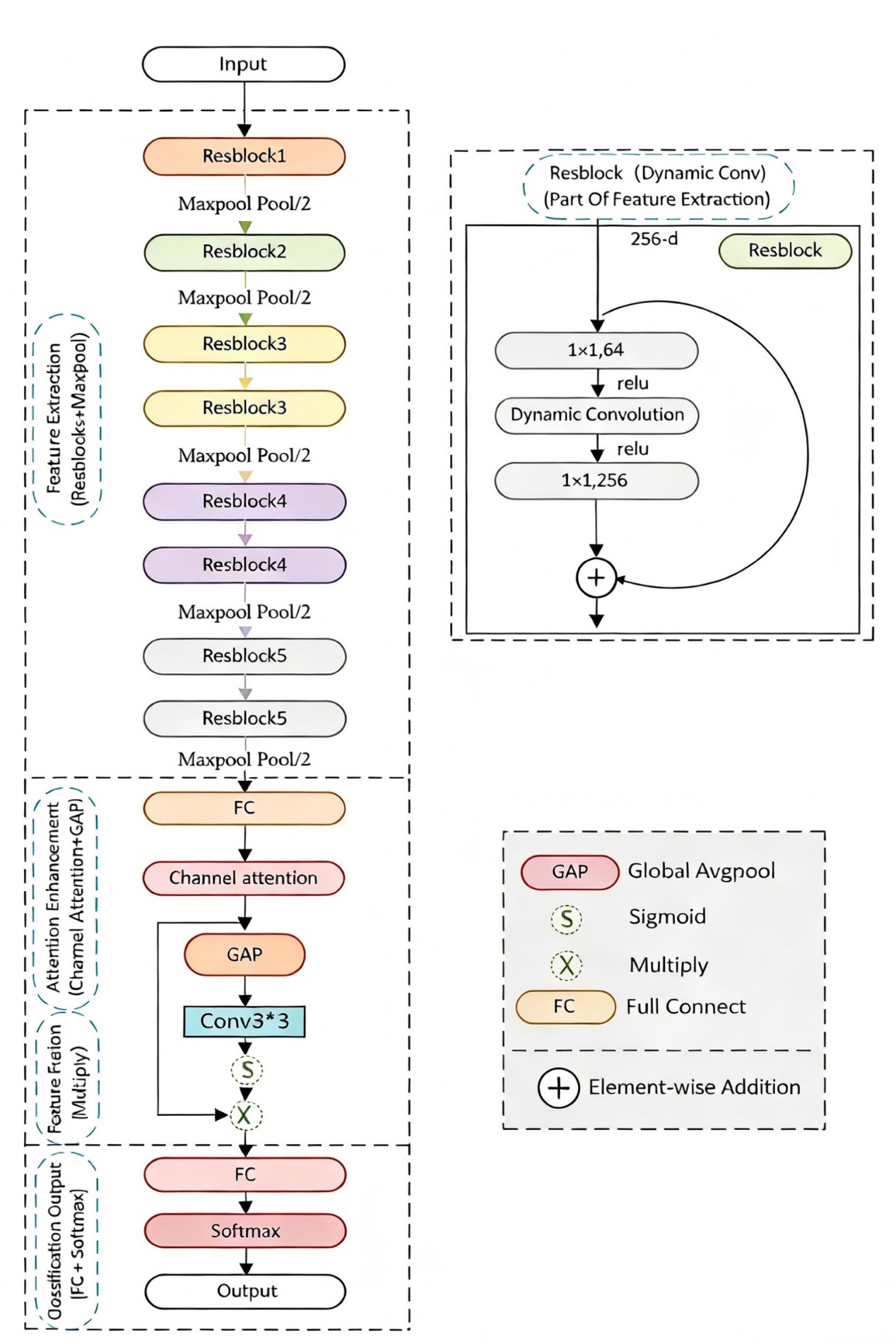
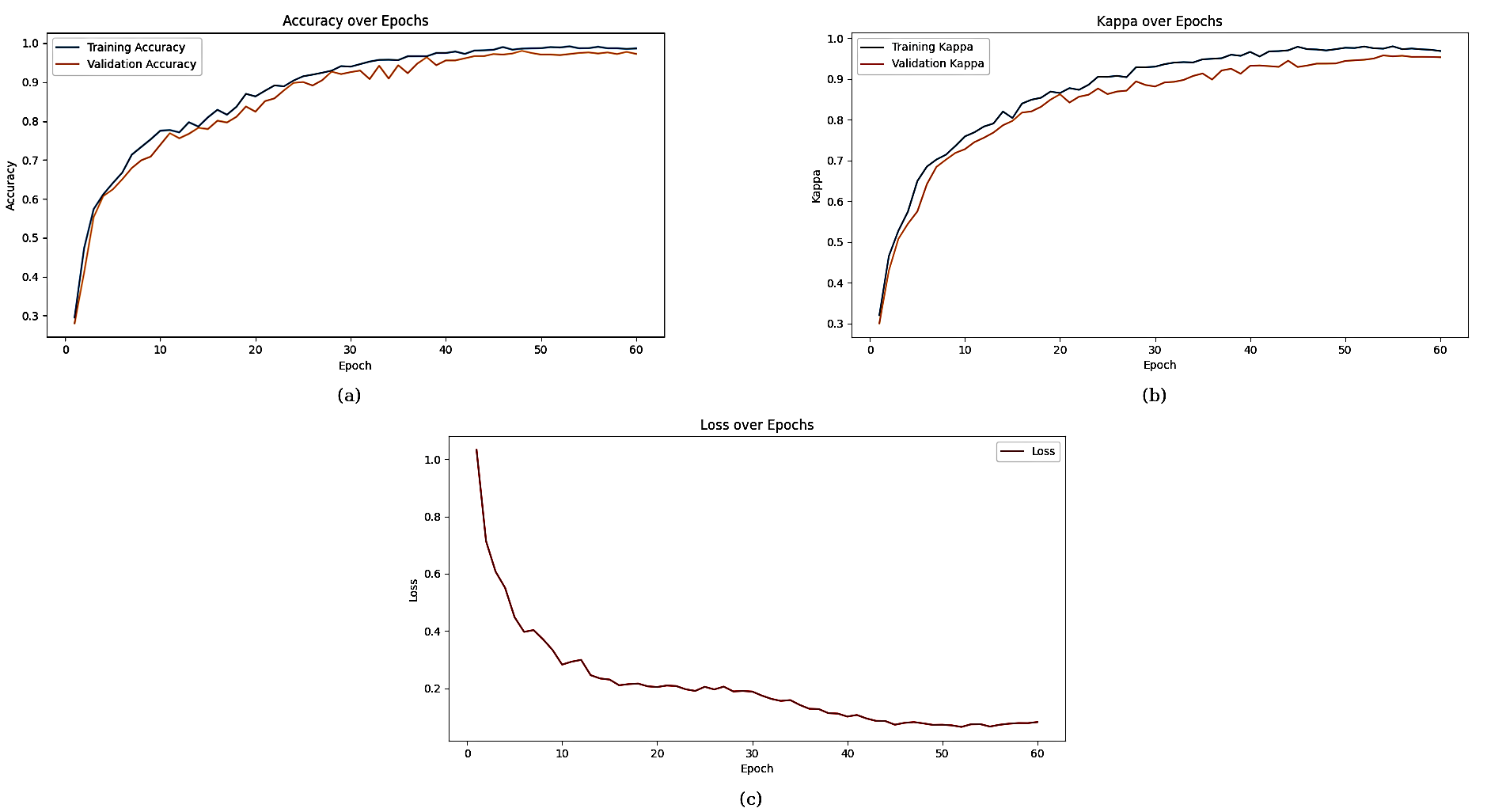
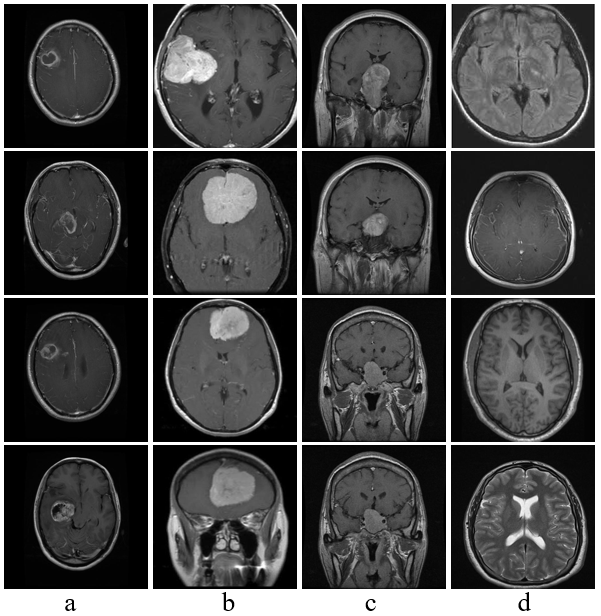
颅内肿瘤是一种严重的神经系统疾病,早期检测对提高患者生存率具有重要意义.然而,现有深度学习模型在颅内肿瘤图像分类任务中仍面临特征提取不足、模型复杂度较高以及类别不均衡等问题.为此,本研究提出了一种轻量化深度学习网络(AD-Net).该网络创新性地引入动态卷积机制,自适应调整滤波器响应,从而增强了对颅内肿瘤复杂、不均特征的表征能力;结合通道注意力机制,有效聚焦关键通道信息,进一步提升了分类的准确性与模型的可解释性.此外,本研究提出了结合二分类与三分类的训练策略,显著缩短了模型训练时间,降低了计算资源的需求,使其更适用于资源受限的医疗环境.在实验中,AD-Net在准确率、精确率、召回率、F1分数以及Kappa一致性系数等关键评价指标上均优于现有主流深度学习模型,验证了其在颅内肿瘤分类任务中的有效性与实际应用价值.

关键词: 关键词:脑颅内肿瘤分类, 卷积神经网络, 动态卷积, 通道注意力机制, 轻量化

Abstract: Intracranial tumors represent a serious neurological disorder, and early detection is critical for improving patient survival rates. However, current deep learning models for intracranial tumor image classification often suffer from insufficient feature extraction, high model complexity, and class imbalance. To address these challenges, this study proposes a lightweight deep learning architecture, adaptive dynamic network (AD-Net). The network innovatively incorporates a dynamic convolution mechanism that adaptively adjusts filter responses, thereby enhancing the representation of complex and imbalanced tumor features. Additionally, the integration of a channel attention mechanism enables the model to focus on critical channel information, further improving classification accuracy and interpretability. This study also introduces a combined binary and ternary classification training strategy, which significantly reduces training time and computational resource requirements, making the model more suitable for resource-constrained medical settings. Experimental results demonstrate that AD-Net outperforms existing mainstream deep learning models in terms of accuracy, precision, recall, F1 score, and Cohen’s Kappa coefficient, confirming its effectiveness and practical value for intracranial tumor classification.

Key words: Keywords: intracranial tumor classification, convolutional neural network, dynamic convolution, channel attention mechanism, lightweight model